
作者 | 闫司盟,陈志恒,邢政,吴世军
摘要:高压大通径闸阀因通径大、压力大而具有开关困难的问题,本文针对弹簧式自紧密封闸阀开阀和关阀驱动力差异较大的问题,利用SolidWorks对闸阀中阀体、阀套、阀板、阀杆等核心部件建立简化联动模型,并在虚拟样机软件ADAMS中对开关阀门时阀杆所需驱动力进行仿真。仿真过程中结合理论推导调整阀板斜面角度,将阀板斜面角度由7.5°优化为4.2°。此优化在保证闸阀高压环境下功能性和密封性的同时,显著降低了关阀时所需驱动力和开关阀驱动力差值,提高了该闸阀的使用便捷度。此研究为弹簧式自紧密封闸阀设计优化提供了一定的经验和参考。
关键词: 闸阀;弹簧自紧;SolidWorks;Adams;动力学仿真
基金项目: 国家重点研发计划课题(2023YFC2809302)
01
概述
闸阀是一种主要用于截断或接通介质流动的阀门,常见于高温高压和大口径管道,广泛应用于石油、化工、电力、水处理、冶金等工业领域,作为管道系统中的重要启闭装置。针对工业生产等工作场景中的闸阀,研究学者进行了大量的研究。
闸阀作为管路系统的关键启闭元件,可以用于截断管路两端的介质。因此,在深海动物保压转移的工作场景中,闸阀可以发挥关键的作用。
在深海生物的采样与转移过程中,维持其原生环境压力是确保生物存活和后续研究可靠性的关键。深海动物长期适应高压环境,一旦骤然暴露于常压条件,其细胞结构和生理功能会遭受不可逆损伤。因此,保压转移技术成为深海生物学研究中的重要环节,旨在将样品从深海高压环境无损转移至水面实验平台或加压培养系统中。深海动物保压转移的工作环境需要在此项任务中使用的闸阀具备特殊的性能。在这一技术体系中,闸阀用于在保压转移过程中精确控制舱体与外界之间的介质通断,确保舱体在装载、运输、观察或实验等各个阶段能维持稳定压力,从而有效保障深海生物样本的完整性与生存状态。因此,用于深海动物保压转移的闸阀必须具有耐高压、高密封性和大通径的特质。
针对这一需求,本课题组研制出一种深海动物转移阀门。深海动物转移阀门使用场景如图1所示。在使用时,将深海动物转移阀门的右侧通过卡箍与培养装置相连,将其左侧通过卡箍与取样器相连,对动物培养装置进行加压,直至与取样器相同压力后,打开转移装置的阀板,待取样器内的生物转移至动物培养装置后,关闭阀板。

图1 深海动物转移阀门使用示意图
由于使用时要转移大生物,阀门需设计为大通径以方便生物通过,但大通径会导致阀门开关时阻力大,因此需要设计优化更加合理的结构使得阀门启闭更加简单省力。本研究基于这一深海动物转移阀门,研究此类弹簧式自紧密封闸阀动力学仿真的模型建立过程和仿真方法,模拟实际使用过程中开关阀时阀板所需的驱动力,并进一步对闸阀阀板倾斜角度进行优化。对于闸阀细节设计的优化,许多学者已经进行了大量的研究,方法众多,徐天池等利用ANSYS有限元分析结合Autodesk Inventor三维建模的方式对大规格楔式闸阀的结构设计进行了优化;谢小青等采用RSM方法(响应面法)对阀板的结构参数进行了优化;廖国域结合泥浆闸阀的结构特点和施工现场的具体情况及问题,对盾构机搭载的泥浆闸阀进行了优化设计。在了解到众多针对闸阀优化问题的研究方法并考虑了深海动物转移阀阀板优化问题的特殊性之后,本研究决定采用SolidWorks三维建模与ADAMS动力学仿真结合的方式进行系统研究。
02
模型建立
2.1 转移阀门工作原理
深海动物转移阀门详细结构如图2所示,其工作原理可简述为:开启时,通过转动阀盘带动阀杆,从而拖动阀板向上移动开启阀门,由于阀板本身有角度,在上拉后左阀套会在弹性件的挤压下向右运动,且始终与阀盘表面保持贴合;关闭时,反向转动阀盘带动阀杆向下挤压阀板关闭阀门,左阀套在侧向力作用下向左移动且始终与阀盘表面贴合。此闸阀采用弹簧式自紧密封,在能够顺畅开关的同时,通过弹性件经由左阀套对阀板施加压力,保证其在内部高压环境下的密封性,防止因压力变化而导致活体动物样本死亡。

a.左腔体 b.右腔体 1.阀体 2.弹性件 3.左阀套 4.第二密封圈 5.第一密封圈 6.阀板 7.右阀套 8.阀侧盖 9.阀杆 10.上阀盖 11.螺钉 12.螺杆 13.螺杆套 14.螺母 15.止推轴承 16.压盖 17.阀盘
图2 深海动物转移阀门整体结构图
由于弹性件通过左阀套向阀盘表面施加了额外的压力,第一密封圈所在的接触面可以承受左腔体内外部极大的压力差,从而保证内部压力稳定,满足此动物转移阀门的密封要求。但是由于弹性件向左阀套与阀板的接触面施加了额外压力,开关阀门时二者之间会产生较大的摩擦力,从而需要对阀杆施加更大的驱动力。阀板表面设计为斜面,在开阀时可以将一部分弹性件的压力转化为驱动阀板向上的开阀力,但在关阀时这一部分力会成为阻力。因此,需要在阀门正常工作的范围内找到一个较为合适的阀板角度,使得开关阀门操作更加便捷。
2.2 简化模型建立
有关此阀门动力学分析的零部件主要涉及三个部分:以阀体为主体,加上右阀套、阀侧盖等部件组成的固定外壳;以阀板和连杆为主的驱动部分;左阀套和弹性件组成的从动部分。因此,在体现转移阀工作原理、保证仿真贴近现实的前提下,为了使模型尽量简洁明了,本文将转移阀依照三个主要部分划分,将其简化为三个零件,并在SolidWorks中建立模型,如图3所示。简化模型中,阀板阀套参数与阀门真实尺寸保持一致,阀板阀套主体为圆柱体切割而成,外径为76 mm,阀套内径为60 mm,壁厚为8 mm,高差为10 mm,因此形成斜面角度约为7.5°,计算方法如下:

式中 θ——阀板斜面倾斜角度,°
ΔH——阀板两端高度差(以初始模型为例,阀板最厚处为25 mm,最薄处为15 mm,因而高度差为10 mm),mm
D——阀板外径,mm

图3 转移阀SolidWorks简化模型示意图
03
动力学仿真
3.1 初始仿真模型建立
ADAMS软件在机械系统静力学、运动学以及动力学仿真方面具有显著优势,但其内部建模功能相对较弱。因此,本文在SolidWorks中构建模型后,以Parasolid格式把零件导入ADAMS/VIEW中,然后根据零件的实际工作情况,在ADAMS/VIEW中添加约束、驱动及荷载等。以关阀模型为例,如图4所示,模型中固定的阀体为Part1,上下移动的阀板为Part2,左右从动的阀套为Part3。为了模拟阀门联动结构的运行情况,在阀套和阀板之间加入弹性件SPRING_1,根据转移阀实际使用的弹性件参数设置450 N的初始扩张力、18.25 N/mm的刚度;利用固定约束JOINT_1将阀体固定在界面中,后将平移约束JOINT_2和JOINT_3施加于阀套和阀板,使其分别可以左右、上下平移。

图4 转移阀ADAMS动力学关阀仿真模型
联动结构内部作用力主要有:阀板与阀套之间作用力、阀套(左阀套)与阀体之间摩擦力、阀板与阀体(右阀套)之间摩擦力。对应这三个力,依次在阀套和阀板之间设置接触CONTACT_1,根据Jochem Giesbers在ADAMS中接触力的研究结果,将静摩擦因数设置为0.3,动摩擦因数设置为0.25;对于平移约束JOINT_2,静摩擦因数设置为0.3,动摩擦因数设置为0.25,产生FRICTION_1;对于平移约束JOINT_3,静摩擦因数设置为0.3,动摩擦因数设置为0.25,产生FRICTION_2。
仿真时,根据实际情况,给JOINT_3施加向下的1 mm/s的MOTION_1,在CONTACT_1的作用下,阀套向左运动,进一步压缩弹簧。通过测量MOTION_1产生的反作用力,便可获得整个运动过程中阀板所需驱动力随时间的变化情况。
开阀模型参数保持一致,MOTION_1速度方向相反,阀板初始位置为最下方。
3.2 模型仿真结果
在关阀操作仿真时,设置仿真总时间为70 s,对应阀板向下运动70 mm,基本可以覆盖整个关阀过程,仿真类型为Dynamic,积分方式为WSTIFF,误差设为1E-05。仿真测量结果如图5所示,关阀时的驱动力初始值约为380 N,随着阀板插入,驱动力线性升高至500 N左右;开阀时的驱动力初始值约为180 N,随着时间推移,驱动力线性降低至110 N左右。总体而言,开关阀门时驱动力随时间呈现出线性降低和增加的趋势。

图5 初始模型开关阀驱动力随时间变化情况
04
结构优化
4.1 角度变化对驱动力的影响
当阀门关闭时,阀板受到的阻力主要来源于三部分:第一部分是弹簧弹力作用在阀套后,通过斜面传递给阀板形成纵向的分力;第二部分是弹簧弹力通过阀套作用在阀套与阀板的接触面上,进而产生摩擦力,摩擦力的纵向部分为阻力;第三部分是在弹簧的挤压下,阀板与右阀套之间的压力产生的摩擦力。
阀板角度的变化对阀板阻力的影响较为复杂。当角度变大时,弹力分力造成的阻力会变大,同时接触面上的压力变大造成摩擦力变大,但角度的变化又导致了摩擦力纵向分力系数发生变化;角度变小时则反之。同时,左阀套与阀体之间的摩擦力会影响弹簧弹力向右侧的传递,左阀套与阀体之间的摩擦力本身又受到阀体推力的影响,这个摩擦力也会影响其他各个作用力,各个力之间呈现出相互影响的复杂关系。
当阀门开启时,三部分阻力同样会随角度变化而变化,无法直观地判断出阻力随角度变化的关系。
为了探究最佳的阀板角度,在SolidWorks中建立了三套对比模型。参数改动分别为:将阀板最薄处缩短3 mm,最厚处加长3 mm;将阀板最薄处加长3 mm,最厚处缩短3 mm;将阀板表面改为水平,如此∆H分别为16 mm、4 mm、0 mm,代入公式(1)中,得到阀板角度分别为11.9°、4.2°和0°,其余参数均保持一致。将这三套模型导入ADAMS中,设置同样的参数,并以同样的方式仿真后,将四组数据进行对比。如图6所示,关阀时的驱动力随角度增加而增大,而开阀时的驱动力随角度增加而减小。角度上升时,关阀驱动力变大的幅度大于开阀驱动力变小的幅度,例如角度由7.5°上升至11.9°时,初始关阀驱动力上升60 N左右,初始开阀驱动力下降32 N左右;当角度为0°时,开关阀驱动力一致,约为250 N。

(a)

(b)
(a)关阀驱动力 (b)开阀驱动力
图6 不同角度下关阀和开阀驱动力对比
4.2 角度优化方法
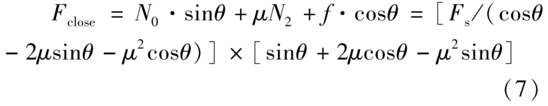
驱动力大小变化情况受阀板角度的影响较为复杂,四组数据可以体现出驱动力随角度变化的趋势,但并不能充分地说明二者之间的关系,也不能排除存在局部极小值的可能性。为了寻找最优的角度,对其进行定量分析。关阀时的驱动力与阀板斜面角度关系为:


对阀套进行横向受力分析,表达式为:

进而得到:

对阀板进行纵向受力分析,表达式为:

再进行横向受力分析,得到关阀驱动力为:

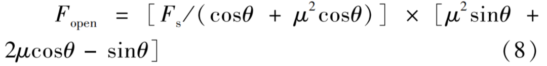
相似地,开阀时驱动力与阀板斜面角度关系为:

式中 f——阀套与阀板接触面产生的摩擦力,N
μ——接触面的动摩擦因数,取0.25
N0——阀套与阀板接触面法向力,N
N1——阀套与阀体接触面法向力,N
N2——阀板与阀体接触面法向力,N
θ——阀板斜面角度,°
Fs——弹簧弹力,N
Fclose——关阀所需驱动力,N
Fopen——开阀所需驱动力,N
由公式(7)和(8)可知,在某一特定位置(弹簧弹力Fs以及接触面摩擦因数μ确定)所需的关阀驱动力随角度增加而增大,而开阀驱动力随角度增加而减小,这验证了图6的结果。根据仿真结果,角度增大后,关阀驱动力的增大幅度大于开阀驱动力的减小幅度,因此更小的角度意味着开关阀门做功更少,更加省力,并且开阀与关阀的驱动力差更小,阀门所需的最大驱动力更小,阀门更易使用。当阀板没有角度、完全水平时,阀门开关最为简单省力。
然而,阀板角度变化产生的影响较为复杂,且实际使用过程中存在零件公差等客观因素,因此阀板没有最优角度,只有在考虑理论仿真结果与现实需要后的更优角度。在此弹簧式自紧密封闸阀的使用过程中,关阀驱动力大于开阀驱动力,因此有效地降低关阀时所需最大驱动力(阀门使用所需最大驱动力)是本研究的首要目标。同时,在实际使用过程中,闸阀各零件存在公差,因此左阀套与阀体内壁并非完美滑动贴合,在阀门完全开启时,左阀套在弹簧力的作用下,以其与阀板的接触点为支点产生细微旋转,从而导致左阀套的左下角抵住阀体内壁,产生卡壳。此种情况下,若阀板角度为零,只能对阀套产生向下的作用力,反而加剧卡壳;而设计为斜面的阀板可以对阀套产生横向的作用力,从而扶正阀套,缓解卡壳。根据公式(9)可知,静止时阀板的角度可增大阀板与阀套之间的法向力,从而产生更好的密封效果以应对高压工作环境。

综合考虑以上因素后,将阀板角度由7.5°优化为4.2°,优化后的仿真结果如图7所示。新的角度在避免出现阀套卡壳的前提下,将转移阀门使用时所需的最大驱动力由510 N降低至360 N,降低约30%,使转移阀门开关操作更加简单省力,并且保留了阀板角度对转移阀门密封性的增益效果。

图7 角度优化后开关阀门驱动力随时间变化情况
05
结语
本文针对弹簧式自紧密封闸阀在高压、大通径工况下的启闭难题,基于其工作原理,建立了简化三维模型,并借助ADAMS软件开展了动力学仿真。通过对比不同阀板斜面角度下的开关驱动力变化规律,发现阀板角度对操作性能具有显著影响。在综合考虑密封性、结构稳定性及操作便捷性的基础上,将阀板斜面角度由7.5°优化至4.2°。仿真结果表明,该优化不仅降低了阀门使用过程中所需的最大驱动力及开关力差值,而且兼顾了高压环境下的密封可靠性,显著提升了阀门的使用性能。研究表明,基于虚拟样机与动力学仿真的结构优化方法能够为阀门设计提供有效支撑,本研究结果对类似特殊工况阀门的开发具有一定参考价值。未来可进一步结合多目标优化设计方法,探索不同结构参数之间的耦合效应,引入智能算法或先进材料以提升阀门的可靠性与使用寿命,推动弹簧式自紧密封闸阀在深海装备及高端工业领域的工程应用。
*本文节选自《阀门 · 学术版》2026年第2期,文章内容不代表《阀门》立场,如有不同观点,可以留言讨论,友好交流,共同进步。