
作者 | 谭文界,闵远胜,高颖贤,付 强
摘要:泵类设备在核电厂流体输送系统中扮演着重要角色,是确保系统顺畅运作的关键。核电厂运行环境特殊,包括极端高温、高压以及高放射性水平,对泵类设备的稳定运行和可靠性提出了严苛要求。人工巡检的可达性较差,导致泵类设备在此环境中发生故障的频次相对较高。本文选取泵类设备中常见的故障模式——碰摩故障,通过收集和分析行业内数百台泵组运行数据,结合机械部件在实际工作中的运行特点,提出了故障机理模型,以此分析故障发生的影响因素和故障信号特性,并对故障机理和试验数据进行深入分析,为后续的特征提取与故障诊断提供了重要指导。
关键词: 核电厂;泵类设备;机理模型;故障

1 概述
在核电站运行过程中,压水堆核电站扮演着至关重要的角色。其主要通过核裂变反应产生的热能制备出高品质的水蒸气,这些水蒸气随后被输送到汽轮机中,通过转动汽轮机实现电能的生成。在这一系列复杂的流体输送系统中,泵类设备是不可或缺的部件,在核电站的各个流体管道中发挥着重要作用,是流体在管路中流动的动力源泉。由于核电站工作环境的特殊性,高放射性环境对泵类设备的性能和可靠性提出了更高的要求。在长时间的高负荷运行过程中,这些泵类设备极易发生故障,这不仅会影响核电站的正常运行,还可能带来核安全隐患,降低经济效益。
为了深入分析并解决这一问题,本文采用基于大数据的认识方法,将研究焦点集中在核电站泵设备中常见的故障模式之一——碰摩现象上。通过建立典型数学模型和开展仿真分析并辅以试验验证,深入分析和总结碰摩故障机理,探讨碰摩现象的影响因素,并研究故障信号特性。为核电站泵设备的故障诊断提供坚实的理论基础,减少因设备故障导致的停机修理时间,有助于提高核电站运行的安全性、可靠性与经济性,从而保障核电站的高效稳定运行。

2 故障机理
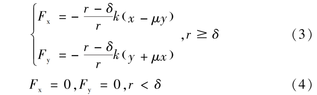
碰摩现象的机理主要是指在旋转部件运行过程中,当高速旋转的转子的振动幅度达到或超过转子与定子之间的实际最小间隙时,转子与定子之间会发生摩擦或碰撞,这种现象在机械工程领域被视为干摩擦的一种表现形式。
为了更好地分析动定转子碰摩的机理,可参考图1的简化模型。在这个模型中,F为切向摩擦力,N为法向摩擦力。用δ表示动定转子在正常工作状态下的间隙距离,r代表旋转的转子在发生碰摩现象时产生的位移。

M为转子质量,k为定子的刚度系数,μ为定子和转子接触面之间的摩擦系数。

图1 动定转子碰摩示意图
法向摩擦力N与切向摩擦力F表达式如下:

F、N可以分解为x方向和y方向的两个分力,分别用Fx、Fy表示。利用转子中心的坐标点(x,y)和旋转角度θ建立的关系式如下:

其中,角度的正弦、余弦函数可利用转子中心位移r和转子中心点坐标(x,y)表征,将和代入式(2)可得:

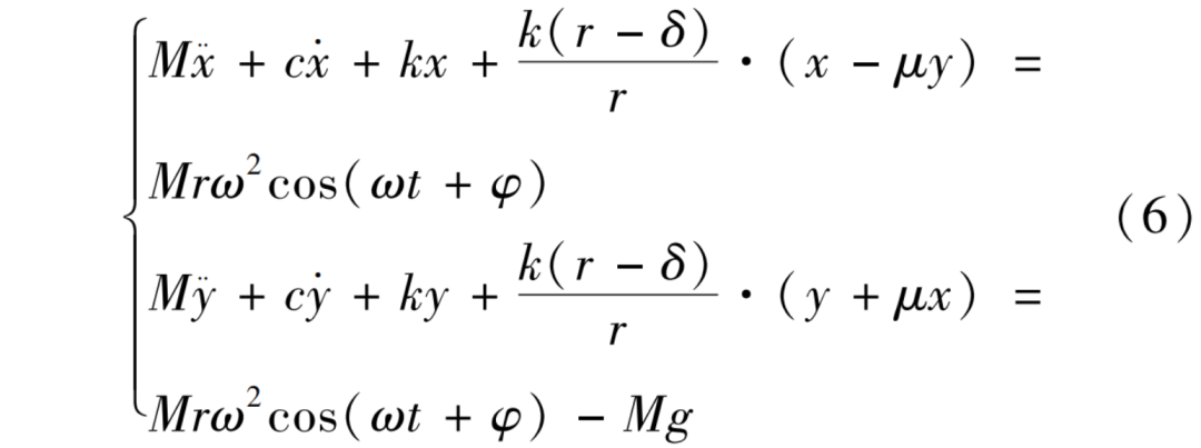
此时可建立定子和转子发生碰摩时的运动微分方程,表达式如下:

将式(3)代入式(5)可得:

在泵类机组系统发生碰摩现象前,该系统通常表现出线性系统的特性。然而,一旦发生局部碰摩现象,转子的运动状态和接触力之间就会呈现出非线性的关系。在频谱分析中,这种非线性关系除了能够观察到转子旋转频率ω的基频成分外,还常常伴随一系列不规则的低次谐波与高次谐波。转子旋转频率的低次谐波指的是频率低于基频的谐波成分,而高次谐波则是指频率高于基频的谐波成分(转频的低次谐波指(1/i · ω (i= 2,3,4,…))的谐波成分,高次谐波指(iω(i= 2,3,4,…))。当碰摩现象相对较轻微时,低次谐波的成分与转子的转速有着密切关系。具体而言,当特定转速频率达到一阶频率或其整数倍时,比如i倍时,会出现特定的1/i · ω低次谐波成分。随着转速的进一步升高,低次谐波的阶次会逐渐降低;相反,在碰摩现象较为严重的情况下,低次谐波成分将仅限于某些特定的谐波(1/i · ω)。此外,当发生碰摩时,时域振动信号会出现一种被称为“削峰”的现象,如图2所示。

图2 “削峰”现象

3 仿真分析
在进行机械系统的故障诊断时,对单个冲击和连续性冲击进行频谱分析是关键步骤。通过频谱分析,可以观察到不同故障模式下的信号特征,从而对故障进行准确的识别和定位。如图3(a)和(b)所示,单个故障冲击的频谱分析揭示了其独特的振荡特性。这种冲击通常以系统的固有频率的倒数为周期进行衰减振荡,其频谱图上会显示出一个明显的单一峰值,且该峰值位于系统的固有频率处。这一现象是单个冲击能量在特定频率上的集中释放所导致的。
如图3(c)和(d)所示,连续性冲击故障表现出了不同的频谱特征。这种故障通常是多个单次冲击依次出现而形成的,其频谱在固有频率数值处同样达到峰值。然而,与单个冲击不同的是,连续性冲击的频谱图上,在固有频率的两侧存在间隔为1/T0 Hz的边频成分。1/T0 Hz的频率间隔实际上反映了故障的特征频率,而特征频率是由连续性冲击的周期性特征所决定的。通过分析边频成分的存在与否以及其分布情况,可以进一步了解故障的性质和严重程度,从而为维修和维护提供科学依据。

图3 单个冲击与连续性冲击的时频谱示意图
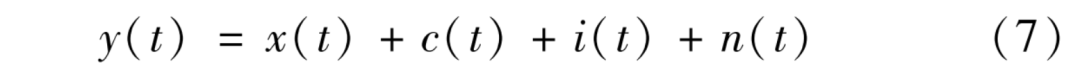
除了因碰摩而出现的周期性脉冲现象外,还有管道中流体介质与泵体内壁(如叶轮、导叶等)发生来回冲击所导致的流体自生内部的压力差异,且叶片高速旋转产生的离心力作用于流体上同样会使流体自生内部压力发生周期性脉动。由于实际情况中干扰因素较多,在实际信号测量时除了考虑高斯白噪声外,通常还包括其他非高斯干扰成分(如强冲击干扰)。因此,在建立碰摩声信号模型时应引入随机的脉冲干扰因素,即碰摩振动信号模型,表达如下:

式中 x(t)——碰摩现象产生时周期或非等周期的冲击信号
c(t)——由转频和叶频及叶频的倍频组成的正弦信号
i(t)——完全随机冲击信号
n(t)——高斯噪声
根据碰摩的振动信号模型,设置特征仿真参数,以此实现不同程度故障的模拟。各分量时域和频域波形如图4所示。图4(c)和(d)表示其他非高斯干扰成分(如强冲击干扰)等引入的随机脉冲频谱特征;图4(e)和(f)表示由转频、叶频以及叶频倍频的正弦信号下的频谱特征;图4(g)和(h)表示高斯白噪声引入下的频谱特征。

图4 不同故障模式下噪声信号的时频谱示意图

4 实验分析
实验选取了特定转速和流量工况下不同故障程度的振动数据作为研究对象。通过一系列实验分析,探索故障信号在时域、频域以及增强包络谱方面的表现。这种方法能够详细地观察和对比不同故障程度下振动信号的特征变化情况,对故障诊断和预测具有重要意义。
实验结果如图5所示,可以发现,随着设备故障程度的逐渐加重,信号的平均振幅呈现出逐渐增大的趋势;这一变化表明信号的冲击现象变得更加明显,信号的杂乱程度也随之增加,该观察结果对后续的特征提取具有重要的指导意义。在进行特征提取时,选择如峭度、偏度等统计指标,可从特定的角度反映出设备的运行状况,有助于更好地理解设备的健康状态。
在信号的频域图中,采用循环平稳分析法成功生成了信号的增强包络谱,进而清晰地观察到信号的频率成分。随着故障程度的加重,故障特征频率成分显著增强,这进一步证实了对转子碰摩故障信号进行处理的重要性。基于此,在后续的特征提取步骤中,应基于信号的包络谱计算上述的频谱特征指标。该方法可确保提取到的特征与故障机理之间的对应关系更加紧密,从而提高故障诊断的准确性和效率,为设备的维护和故障预防提供有力的数据支持。



(a)轻微故障-时域 (b)轻微故障-频域 (c)轻微故障-包络谱 (d)中等故障-时域 (e)中等故障-频域 (f)中等故障-包络谱 (g)重度故障-时域 (h)重度故障-频域 (i)重度故障-包络谱
图5 不同故障程度的碰摩信号分析结果

5 结语
本文通过对故障机理以及实验数据的深入分析,为后续的特征提取与故障诊断工作提供了建设性指导。首先,在转子碰摩故障情况下,故障特征频率往往会被强烈的冲击噪声掩盖,这使得在通过傅里叶变换得到的频谱中难以辨识出这些关键的故障特征频率。而采用循环平稳分析法的信号解调技术能够有效地从复杂的信号中分离出故障特征,从而提高故障检测的准确性。此外,基于对故障信号时域特性和包络谱特性的综合考量,在进行特征提取的后续步骤中,应当选择峭度、偏度、波形因子、裕度因子等指标表征和量化故障特征。这些指标能够从不同角度揭示信号的异常情况,为准确诊断故障提供更加丰富的信息。本研究结果将为后续的故障诊断技术开发和设计提供坚实的理论基础。
*本文节选自《阀门 · 学术版》2026年第1期,文章内容不代表《阀门》立场,如有不同观点,可以留言讨论,友好交流,共同进步。